C4 Tech/Performance L98 Corvette and LT1 Corvette Technical Info, Internal Engine, External Engine

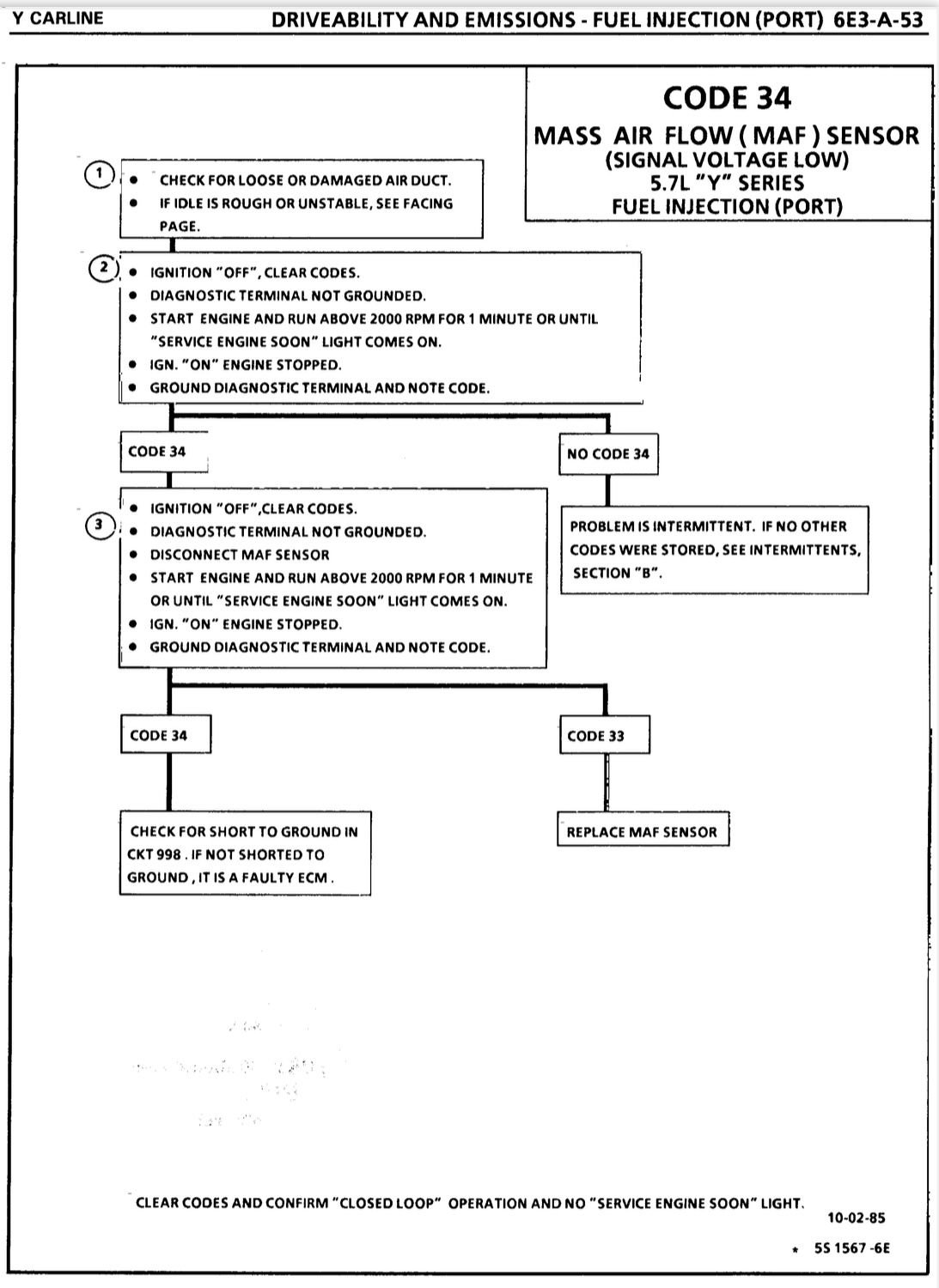
Code 33 and Code 34

Thread Tools
 
Search this Thread
 
Old Jun 8, 2025 | 12:01 AM
  #1  
spaceweasel's Avatar
spaceweasel
Thread Starter
Instructor
All Eyes On Me
Liked
Loved
Community Favorite
 
Joined: Jan 2019
Posts: 166
Likes: 33
From: Connecticut, USA
Default Code 33 and Code 34

My engine in my '89 started running rough on idle and shaking a little.
I pulled codes 33,34. First error codes I've encountered since owning this car.
Is there a simple way to determine whether the issue is with the relays or the MAF?

If it is the MAF, has anyone tried a Spectre MA-157?
Reply
Old Jun 8, 2025 | 07:47 AM
  #2  
AGENT 86's Avatar
AGENT 86
Team Owner
20 Year Member
Active Streak: 30 Days
Active Streak: 60 Days
Active Streak: 90 Days
 
Joined: Jan 2003
Posts: 20,293
Likes: 240
From: Summerland B.C. Canada
Default

Never had to deal with either of those codes, so all I can add is some info from my manual.




Reply
Old Jun 8, 2025 | 10:49 AM
  #3  
vader86's Avatar
vader86
Team Owner
20 Year Member
Liked
Loved
Community Favorite
 
Joined: Sep 2001
Posts: 62,127
Likes: 1,727
From: Athens AL
C7 of the Year - Unmodified Finalist 2021
C4 of Year Finalist (performance mods) 2019
Default

If you follow the procedure above and find it is the MAF, its good practice to replace both relays along with it.
Reply
Old Jun 8, 2025 | 01:27 PM
  #4  
spaceweasel's Avatar
spaceweasel
Thread Starter
Instructor
All Eyes On Me
Liked
Loved
Community Favorite
 
Joined: Jan 2019
Posts: 166
Likes: 33
From: Connecticut, USA
Default

I have the manual. I guess I should use it,,,,all the time. I also have the Parts Manual, in case anybody needs info out of that.
Reply
Old Jun 8, 2025 | 01:36 PM
  #5  
spaceweasel's Avatar
spaceweasel
Thread Starter
Instructor
All Eyes On Me
Liked
Loved
Community Favorite
 
Joined: Jan 2019
Posts: 166
Likes: 33
From: Connecticut, USA
Default

I purchased two used known good relays (always good to have a couple lying around).
So, time to get to work (while I'm fixing my right headlight, the coolant drip, retorque my aluminum trans pan )
Reply
Old Jun 15, 2025 | 02:14 AM
  #6  
spaceweasel's Avatar
spaceweasel
Thread Starter
Instructor
All Eyes On Me
Liked
Loved
Community Favorite
 
Joined: Jan 2019
Posts: 166
Likes: 33
From: Connecticut, USA
Default

Well, it wasn't the MAF. It was the relays. Codes gone. Car running fine.
Reply

Get notified of new replies

To Code 33 and Code 34





All times are GMT -4. The time now is 04:20 AM.

story-0
150 hp to 1,250 hp: Every Corvette Generation Compared by the Specs That Matter

Slideshow: From C1 to C8 we compare every Corvette generation by the numbers.

By Joe Kucinski | 2026-05-12 16:54:12


VIEW MORE
story-1
8 Coolest Corvette Pace Cars (and Replicas) of All Time

Slideshow: Some Corvette pace cars became collectible legends, while others perfectly captured the look and attitude of their era.

By Verdad Gallardo | 2026-05-11 09:50:51


VIEW MORE
story-2
Top 10 Corvette Engines RANKED by Peak Torque (70+ Years of Muscle!)

Slideshow: Ranking the top 10 Corvette engines by torque output.

By Joe Kucinski | 2026-05-05 11:58:09


VIEW MORE
story-3
Corvette ZR1X Will Be Pacing the Indy 500, And Could Probably Race, Too!

Slideshow: A Corvette pace car nearly matching IndyCar speeds sounds exaggerated, until you look at the numbers.

By Verdad Gallardo | 2026-05-04 20:03:36


VIEW MORE
story-4
Top 10 Corvettes Coming to Mecum Indy 2026!

Among a rather large group of them.

By Brett Foote | 2026-05-04 13:56:44


VIEW MORE
story-5
Top 10 C9 Corvette MUST-HAVES to Fix These C8 Generation Flaws!

Slideshow: the top 10 things Corvette owners want in the C9 Corvette

By Michael S. Palmer | 2026-04-30 12:41:15


VIEW MORE
story-6
10 Revolutionary 'Corvette Firsts' Most People Don't Know

Slideshow: 10 Important Corvette 'firsts' that every fan should know.

By Joe Kucinski | 2026-04-29 17:02:16


VIEW MORE
story-7
5 Reasons to Upgrade to an LS6-Powered Corvette; 5 Reasons to Stay LT2

Slideshow: Should you buy a 2020-2026 Corvette or wait for 2027?

By Michael S. Palmer | 2026-04-22 10:08:58


VIEW MORE
story-8
2027 Corvette vs The World: Every C8 vs Its Closest Competitor

Slideshow: 2027 Corvette lineup vs the world.

By Joe Kucinski | 2026-04-24 16:12:42


VIEW MORE
story-9
10 Most Common Corvette Problems of the Last 20 Years!

Slideshow: 10 major Corvette problems from the last 20 years.

By Joe Kucinski | 2026-04-14 16:37:05


VIEW MORE